Georjee E Grover

age ~52

from East Windsor, NJ

Also known as:
  • Grover Georjee
  • E Grover
Phone and address:
48 Frost Ln, East Windsor, NJ 08520
6094481343

Georjee Grover Phones & Addresses

  • 48 Frost Ln, Hightstown, NJ 08520 • 6094481343
  • East Windsor, NJ
  • East Brunswick, NJ
  • 1512 Westminster Blvd, Parlin, NJ 08859 • 7325250049 • 7325252766

Youtube

GDPE Pathways to Science with Dr. Andrea Grover

Pathways to Science with Dr. Andrea Grover Information Systems and Qua...

  • Duration:
    13m 22s

Grover the gadget rental service

The Engadget Podcast ep. 1 Cherlynn Low tells us about her experience ...

  • Duration:
    9m 55s

Introduction to Quantum Computing (21) - Grov...

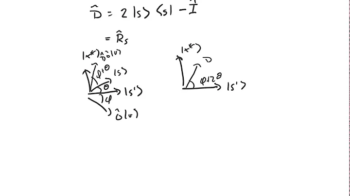
Understanding Grover's algorithm is tantamount to understanding hat(O)...

  • Duration:
    7m 51s

Introduction to Quantum Computing (22) - Grov...

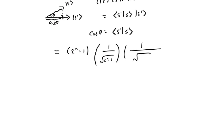
Because ket(psi(r)) lives in the s'-x* plane, we can write it as a lin...

  • Duration:
    8m 36s

L21 Revision (Oracle in Deutsch/Grover's algo...

Lecture by Tim Byrnes at NYU Shanghai on Introduction to quantum infor...

  • Duration:
    1h 10m 38s

Its PIXEL perfect! Whos ready to rent the stu...

It's PIXEL perfect! Who's ready to rent the stunning Google Pixel 7? G...

  • Duration:
    16s

Get Report for Georjee E Grover from East Windsor, NJ, age ~52
Control profile