Yi Lai

age ~55

from Seattle, WA

Also known as:
  • Shao Lai Yi
  • Yishao S Lai
  • Shao Lai Yishao

Yi Lai Phones & Addresses

  • Seattle, WA
  • Carrollton, TX
  • 1618 6Th St, Austin, TX 78703 • 5127080295

Resumes

Yi Lai Photo 1

Yi Lai

view source
Location:
United States

Googleplus

Yi Lai Photo 2

Yi Lai

Yi Lai Photo 3

Yi Lai

Yi Lai Photo 4

Yi Lai

Yi Lai Photo 5

Yi Lai

Yi Lai Photo 6

Yi Lai

Flickr

Classmates

Yi Lai Photo 15

Louis H. Farrell Elementa...

view source
Graduates:
Andrew Gelfond (1989-1993),
Wing Yi Lai (1988-1992),
Kelly Cutillo (1974-1980),
David Levine (1979-1983),
Allen Siegel (1959-1961)
Yi Lai Photo 16

Hunting Hills High School...

view source
Graduates:
Shun Yi Lai (1997-2001),
Jordan Loehr (2002-2006),
Kyle Schafer (1995-1999),
Claudia Andreescu (1997-2001),
Devon Spencer (1998-2002)

Youtube

Leon Lai - Drama list (2017 - 2022) | Lai Yi ...

ChineseactorsDra... All dramas drama 2022 drama list Leon Lai - Drama...

  • Duration:
    2m 1s

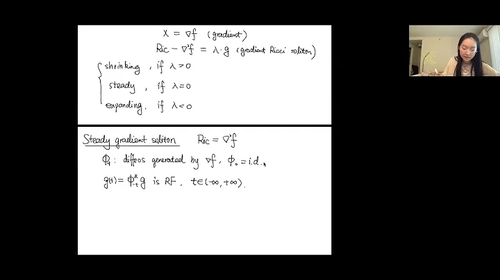
Yi Lai (Stanford University) - O(2)-symmetry ...

For any 3D steady gradient Ricci soliton with positive curvature, we p...

  • Duration:
    1h 3m 43s

LAI YI DOUYIN COMPILATION| LAI YI TIKTOK COMP...

Disclaimer :The clips used in this video are not own by this channel...

  • Duration:
    4m 40s

[Eng Sub] 20210108 Lai Yi shares what's in ...

Please turn on CC for English subtitles ...

  • Duration:
    1m 28s

Yi-Lai Returned To Full-Year Profit In FY20

2020 was a remarkable year for Yi-Lai Berhad as the group achieved a t...

  • Duration:
    1m 8s

Leon Lai yi (Jin Liu Overlord) Lifestyle Biog...

Leon Lai yi (Jin Liu Overlord) Lifestyle Biography, Net Worth Boyfrien...

  • Duration:
    3m 36s

Facebook

Yi Lai Photo 17

Yi Pui Lai

view source
Yi Lai Photo 18

Hg Yi Lai

view source
Yi Lai Photo 19

Yi Ting Lai

view source
Yi Lai Photo 20

Yi Xiang Lai

view source
Yi Lai Photo 21

Yi Jing Lai

view source
Yi Lai Photo 22

Yi Hang Lai

view source
Yi Lai Photo 23

Yi Chun Lai

view source
Yi Lai Photo 24

Khai Yi Lai

view source

Get Report for Yi Lai from Seattle, WA, age ~55
Control profile